یاتاقان تراست پد (Thrust Pad Bearing)
یاتاقان تراست پد یکی از انواع یاتاقانهای صنعتی است که برای تحمل و هدایت نیروهای محوری (Thrust Forces) طراحی شده است. این یاتاقانها بهویژه
در تجهیزاتی که حرکت دورانی دارند و نیروهای محوری به آنها وارد میشود، کاربرد دارند. نیروهای محوری به نیرویی اطلاق میشود که در جهت محور چرخش
اعمال شده و باید بهدرستی هدایت شوند تا از آسیبدیدگی تجهیزات جلوگیری شود.
عملکرد یاتاقان تراست پد
در بسیاری از ماشینآلات صنعتی مانند توربینها، پمپها، موتورهای الکتریکی، گیربکسها و ماشینهای CNC، هنگام چرخش محور، نیروهای محوری بهطور
مداوم به یاتاقان وارد میشوند. یاتاقان تراست پد در این دستگاهها بهعنوان یک عنصر حیاتی عمل کرده و نیروهای محوری را بهطور مؤثر تحمل میکند. طراحی
این یاتاقانها به گونهای است که میتوانند فشارهای زیادی را بدون ایجاد آسیب به دیگر اجزا، توزیع و تحمل کنند.در عملکرد این یاتاقانها، یک لایه نازک روغن
بین سطح یاتاقان و شفت تشکیل میشود که سبب کاهش اصطکاک و افزایش عمر مفید قطعات میگردد. این پدیده که به عنوان روانکاری هیدرودینامیکی
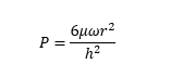
شناخته میشود، تابعی از ضخامت فیلم روغن (h)، ویسکوزیته روغن (μ) و سرعت زاویهای (ω) است:

که در آن P فشار فیلم روغن، R شعاع شفت و h ضخامت فیلم روغن است.
یاتاقانهای تراست پد ثابت:
این نوع یاتاقانها بهصورت ثابت در مکان خود نصب شده و تنها نیروهای محوری را از یک جهت دریافت میکنند. معمولاً در مواردی که حرکت محوری یکطرفه
باشد، از این یاتاقانها استفاده میشود.
یاتاقانهای تراست پد متحرک:در این نوع یاتاقانها، سطح یاتاقان قادر به جابجایی محدود است و برای سیستمهایی که ممکن است نیروهای محوری متغیری
در دو جهت داشته باشند، به کار میروند.
کاربردهای یاتاقان تراست پد
توربینها و ژنراتورها: در نیروگاهها و توربینهای صنعتی برای کنترل نیروهای محوری و جلوگیری از آسیب به شافتها.
پمپها: در پمپهای گریز از مرکز برای جلوگیری از خوردگی و سایش ناشی از نیروهای محوری.
موتورهای الکتریکی: بهویژه در موتورهایی با سرعت چرخشی بالا برای کنترل و هدایت نیروهای محوری.
گیربکسها: برای جلوگیری از خرابی اجزای متحرک ناشی از نیروهای محوری در سیستمهای انتقال قدرت.
ویژگیهای مهم یاتاقان تراست پد
تحمل بارهای محوری بالا: این یاتاقانها برای تحمل بارهای سنگین طراحی شدهاند.
افزایش طول عمر تجهیزات: استفاده از مواد مقاوم در برابر سایش و خوردگی، موجب دوام بالای این یاتاقانها میشود.
توزیع یکنواخت نیرو: طراحی خاص این یاتاقانها باعث توزیع متوازن فشار در سطح آنها میشود.
مقاومت در شرایط محیطی سخت: این یاتاقانها در محیطهایی با دما و رطوبت بالا مقاوم هستند.
معادلات تحلیل عملکرد یاتاقان تراست پد
نتیجهگیری
یاتاقانهای تراست پد بخش مهمی از تجهیزات صنعتی هستند که نیروهای محوری را تحمل و هدایت میکنند. این یاتاقانها باعث بهبود عملکرد، کاهش
هزینههای تعمیر و افزایش بهرهوری سیستمهای مکانیکی میشوند.

