یاتاقانهای ۴ لوب
یاتاقان ها از اجزای حیاتی در سیستمهای مکانیکی هستند که وظیفه اصلی آن ها کاهش اصطکاک بین قطعات متحرک و افزایش کارایی دستگاهها است. یکی از انواع خاص یاتاقان ها
که در برخی سیستمهای صنعتی کاربرد دارد، یاتاقان های ۴ لوب هستند. این نوع یاتاقان ها به دلیل طراحی ویژه، ویژگی های منحصر به فردی دارند که آن ها را در برخی کاربردها به
گزینهای مناسب تبدیل میکند. در این مقاله به بررسی یاتاقانهای ۴ لوب، ساختار، کاربردها و مزایای آنها پرداخته میشود.
تعریف یاتاقان ۴ لوب
یاتاقانهای ۴ لوب نوعی از یاتاقانها هستند که در آنها سطح تماس بین شفت و یاتاقان، بهطور خاص بهصورت چهار ناحیه برجسته (لوب) طراحی شده است. این طراحی باعث میشود
که بار بهطور یکنواخت بین این چهار لوب توزیع شود و اصطکاک کمتری نسبت به یاتاقان های ساده ایجاد کند. یاتاقان های ۴ لوب در سیستمهایی که نیاز به کاهش اصطکاک، افزایش کارایی
و تحمل بارهای پیچیده دارند، کاربرد وسیعی دارند.
ساختار یاتاقانهای ۴ لوب
یاتاقانهای ۴ لوب از چند بخش اصلی تشکیل شدهاند:
لوبها: چهار بخش برجسته یا لوب که بهطور مساوی بار را در طول حرکت شفت تقسیم میکنند. این لوبها معمولاً بهصورت دایرهای یا نیمدایره طراحی شدهاند و در حین حرکت، سطح
تماس بین شفت و یاتاقان را بهطور یکنواخت توزیع میکنند.
مواد مقاوم به سایش: برای کاهش اصطکاک و افزایش طول عمر یاتاقان، از مواد مقاوم به سایش و حرارت مانند فولاد، برنز یا پلیمرهای مهندسی در ساختار این یاتاقانها استفاده میشود.
تحلیل عملکرد یاتاقان ۴ لوب
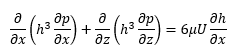
در یاتاقانهای ۴ لوب، نیروی فیلم روغن بین شفت و لوبها به گونهای توزیع میشود که باعث کاهش اصطکاک و افزایش پایداری دینامیکی میشود. معادله فشار روغن در فضای بین لوبها بهصورت زیر بیان میشود

ضخامت فیلم روغن h
فشار روغن در فیلم یاتاقان p
ویسکوزیته دینامیکی روغن
سرعت نسبی بین سطح شفت و یاتاقانU
مختصات در راستای طول و محیط یاتاقانx,z
کاربردهای یاتاقانهای ۴ لوب
صنعت خودروسازی: یاتاقانهای ۴ لوب در موتورهای خودرو و گیربکسها برای کاهش اصطکاک و تحمل بارهای متغیر استفاده میشوند.
ماشینآلات صنعتی: در ماشینآلات سنگین مانند توربینها، پمپها و فنها که نیاز به عملکرد پایدار و کاهش اصطکاک دارند.
صنایع هوافضا: در موتورهای هواپیما و تجهیزات پروازی که نیاز به عملکرد بهینه در شرایط سخت محیطی دارند.
دستگاههای سنگین: در تجهیزات معدنی، جرثقیلها و ماشینآلات کشاورزی برای تحمل بارهای بالا و کاهش استهلاک.
مزایای یاتاقانهای ۴ لوب
کاهش اصطکاک: به دلیل طراحی خاص لوبها، نیروی اصطکاکی کاهش یافته و کارایی سیستم افزایش مییابد.
پایداری دینامیکی بالا: طراحی چهار لوب باعث افزایش پایداری سیستمهای دوار و کاهش ارتعاشات میشود.
تحمل بارهای ترکیبی: این یاتاقانها قابلیت تحمل همزمان بارهای شعاعی و محوری را دارند.
افزایش عمر مفید: توزیع یکنواخت بار روی سطح یاتاقان، سایش را کاهش داده و نیاز به تعمیرات را کمتر میکند.
مقایسه یاتاقانهای ۴ لوب و ۳ لوب
یاتاقانهای ۴ لوب و ۳ لوب هر دو در دسته یاتاقانهای هیدرودینامیکی قرار میگیرند، اما تفاوتهای مهمی دارند:
| ویژگی | یاتاقان ۳ لوب | یاتاقان ۴ لوب |
| توزیع بار | بار بیشتری روی هر لوب متمرکز میشود | بار بهطور یکنواختتر بین لوبها تقسیم میشود |
| اصطکاک | نسبتاً بیشتر | کمتر به دلیل توزیع بهتر نیرو |
| پایداری در سرعتهای بالا | خوب، اما ممکن است در شرایط خاص لرزش ایجاد شود | پایداری بهتر در سرعتهای بالا
|
| قابلیت تحمل بارهای پیچیده | کمتر | بیشتر به دلیل تعداد لوبهای بیشتر |
| هزینه تولید | کمتر | بیشتر به دلیل طراحی پیچیدهتر |
مزایای یاتاقانهای ۴ لوب نسبت به ۳ لوب:
توزیع بهتر بار و کاهش فشار نقطهای
کاهش اصطکاک و بهبود عملکرد در سرعتهای بالا
تحمل بارهای پیچیدهتر و متغیر
معایب یاتاقانهای ۴ لوب نسبت به ۳ لوب:
هزینه بالاتر در تولید و نگهداری
نیاز به دقت بیشتر در طراحی و نصب
نتیجهگیری
یاتاقانهای ۴ لوب به دلیل طراحی منحصر به فرد خود که بار را بهطور یکنواخت توزیع میکند، کاهش اصطکاک، افزایش عمر مفید و تحمل بارهای متغیر را به همراه دارند. این یاتاقانها در صنایع
مختلفی از جمله خودروسازی، ماشینآلات صنعتی و هوافضا کاربرد گستردهای دارند. بهرهگیری از تحلیلهای علمی و استفاده از مواد مقاوم، عملکرد این یاتاقانها را بهینهتر کرده و نقش مهمی
در بهبود سیستمهای مکانیکی ایفا میکند.

