یاتاقان تیلت پد
یاتاقانها از اجزای اساسی و کلیدی در انواع مختلف ماشینآلات و دستگاهها هستند که به منظور کاهش اصطکاک و تسهیل حرکت قطعات متحرک طراحی شدهاند.
یاتاقانها انواع مختلفی دارند که هرکدام با ویژگیها و کاربردهای خاص خود در صنایع مختلف استفاده میشوند. یکی از انواع این یاتاقانها، یاتاقان تیلت پد (Tilt Pad Bearing)
است. این نوع یاتاقان به دلیل طراحی خاص خود در برخی از کاربردهای صنعتی بسیار مؤثر است. در این مقاله، به بررسی یاتاقان تیلت پد، نحوه عملکرد، مزایا، معایب و
کاربردهای آن پرداخته خواهد شد.
تعریف یاتاقان تیلت پد
یاتاقان تیلت پد یکی از انواع یاتاقانهای هیدرودینامیکی (و نه هیدرواستاتیکی) است که بهویژه در سیستمهای چرخشی با بارهای سنگین و سرعتهای بالا کاربرد دارد.
این یاتاقان از مجموعهای از پدهای شیبدار یا زاویهدار تشکیل شده است که در یک محفظه قرار دارند. پدها به صورت آزادانه میچرخند و با تغییر زاویه خود تحت تأثیر بارها
و فشارهای وارد شده قرار میگیرند. طراحی این پدها به گونهای است که آنها قادر به تنظیم خود با تغییرات بار و شرایط عملیاتی هستند. این ویژگی باعث میشود
که یاتاقان تیلت پد برای استفاده در دستگاههای حساس که نیاز به عملکرد دقیق دارند، بسیار مناسب باشد.
نحوه عملکرد یاتاقان تیلت پد
یاتاقانهای تیلت پد به طور عمده برای کاهش اصطکاک و افزایش ظرفیت باربری طراحی شدهاند. در این یاتاقانها، هر پد با توجه به زاویهای که دارد میتواند فشار وارد
شده را به صورت یکنواخت توزیع کند. هنگامی که شافت یا محور در حال چرخش است، پدهای یاتاقان بهطور خودکار تحت تأثیر بار و حرکت قرار میگیرند و زاویه آنها تغییر
میکند. این تغییر زاویه به یاتاقان این امکان را میدهد که فشار را به بهترین نحو توزیع کرده و از ایجاد سایش و اصطکاک بیش از حد جلوگیری کند.
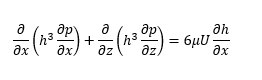
در این فرآیند، یک لایه نازک از روغن یا روانکننده بین شافت و یاتاقان قرار میگیرد که باعث کاهش اصطکاک و افزایش کارایی میشود. این لایه روغن تحت تأثیر فشار
هیدرودینامیکی ایجاد میشود که با استفاده از معادله رینولدز (Reynolds Equation) قابل توصیف است:

که در آن:
ضخامت فیلم روغن h
فشار روغن در فیلم یاتاقان p
ویسکوزیته دینامیکی روغن
سرعت نسبی بین سطح شفت و یاتاقانU
مختصات در راستای طول و محیط یاتاقانx,z
این یاتاقانها میتوانند در شرایط کاری مختلف، از جمله سرعتهای بالا و بارهای سنگین، بهخوبی عمل کنند.
ویژگیها و مزایای یاتاقان تیلت پد
یاتاقانهای تیلت پد دارای ویژگیهای خاصی هستند که آنها را از دیگر انواع یاتاقانها متمایز میکند. این ویژگیها شامل موارد زیر است:
کاهش اصطکاک و سایش: به دلیل طراحی خاص پدهای زاویهدار، اصطکاک در یاتاقانهای تیلت پد بسیار پایین است و این باعث افزایش عمر مفید دستگاه و کاهش هزینههای تعمیر و نگهداری میشود.
ظرفیت باربری بالا: یاتاقان تیلت پد قادر است بارهای سنگین را تحمل کند. این ویژگی آن را برای استفاده در ماشینآلات صنعتی با بارهای زیاد و سرعتهای بالا مناسب میسازد.
عملکرد دقیق در سرعتهای بالا: این یاتاقانها بهویژه در کاربردهایی که نیاز به سرعت بالا و دقت دارند، عملکرد خوبی دارند. زیرا طراحی آنها قادر است با تغییرات سرعت و بار تطبیق پیدا کند.
کاهش حرارت: استفاده از روانکنندهها در بین پدها و شافت باعث کاهش دما و جلوگیری از گرمای بیش از حد میشود، که این امر به افزایش عمر دستگاه کمک میکند.
استحکام و پایداری: طراحی یاتاقان تیلت پد به گونهای است که از استحکام و پایداری خوبی در برابر بارهای غیرقابل پیشبینی برخوردار است.
معایب یاتاقان تیلت پد
با وجود مزایای زیاد، یاتاقانهای تیلت پد دارای معایبی نیز هستند که باید در نظر گرفته شوند:
هزینه بالا: طراحی پیچیده و ساخت این یاتاقانها باعث میشود که هزینه تولید آنها نسبت به سایر انواع یاتاقانها بالاتر باشد.
نیاز به روانکنندههای خاص: یاتاقانهای تیلت پد نیاز به روانکنندههای با کیفیت بالا دارند تا عملکرد بهینه خود را حفظ کنند. این میتواند هزینههای نگهداری و بهرهبرداری را افزایش دهد.
پیچیدگی در تعمیر و نگهداری: به دلیل طراحی پیچیده و استفاده از پدهای متحرک، تعمیر و نگهداری یاتاقانهای تیلت پد نسبت به سایر یاتاقانها کمی دشوارتر است.
کاربردهای یاتاقان تیلت پد
یاتاقانهای تیلت پد به دلیل ویژگیهای منحصر به فرد خود در انواع مختلفی از صنایع و ماشینآلات کاربرد دارند. برخی از مهمترین کاربردهای آنها عبارتند از:
توربینهای صنعتی: این یاتاقانها در توربینهای صنعتی بهویژه در نیروگاههای برق و سیستمهای تولید انرژی مورد استفاده قرار میگیرند. بارهای سنگین و سرعتهای
بالای چرخش در این تجهیزات نیاز به یاتاقانهایی با ظرفیت باربری بالا و عملکرد دقیق دارند.
موتورهای هواپیما: یاتاقانهای تیلت پد در موتورهای هواپیما برای کاهش اصطکاک و بهبود عملکرد استفاده میشوند. به دلیل شرایط خاص کاری موتورهای هواپیما، این
یاتاقانها میتوانند بارهای سنگین را به خوبی تحمل کنند.
ماشینآلات معدنی و ساختمانی: در ماشینآلات سنگین معدنی و ساختمانی که بارهای بسیار سنگین و تغییرات ناگهانی بار دارند، یاتاقانهای تیلت پد بهخوبی عمل میکنند.
کمپرسورها و پمپها: در کمپرسورها و پمپهایی که در فشارهای بالا و سرعتهای بالا کار میکنند، یاتاقانهای تیلت پد میتوانند بهطور مؤثری عملکرد بهینهای را ارائه دهند.
پارامتر های طراحی
برای درک بهتر عملکرد یاتاقان تیلت پد، میتوان به برخی از پارامترهای طراحی و عملکردی آن اشاره کرد:
ضریب اصطکاک: ضریب اصطکاک در یاتاقانهای تیلت پد معمولاً بسیار پایین است و با استفاده از رابطه زیر محاسبه میشود:
که در آن نیروی اصطکاک و نیروی نرمال است.
ظرفیت باربری: ظرفیت باربری یاتاقانهای تیلت پد با استفاده از رابطه زیر محاسبه میشود:
که در آن W بار وارد شده، p فشار هیدرودینامیکی و A سطح تماس است.
دمای کاری: دمای کاری یاتاقانهای تیلت پد باید کنترل شود تا از آسیب به روانکننده و خود یاتاقان جلوگیری شود. این دما با استفاده از معادله انتقال حرارت محاسبه میشود:
که در آن q نرخ انتقال حرارت، h ضریب انتقال حرارت، A سطح تماس و ΔT اختلاف دما است
نتیجهگیری
یاتاقانهای تیلت پد با ویژگیهای خاص خود، از جمله ظرفیت باربری بالا، کاهش اصطکاک و سایش و عملکرد دقیق در سرعتهای بالا، به یکی از گزینههای محبوب در صنایع با
نیازهای خاص تبدیل شدهاند. این یاتاقانها بهویژه در کاربردهایی که نیاز به تحمل بارهای سنگین و سرعتهای بالا وجود دارد، عملکرد عالی از خود نشان میدهند. البته هزینه
بالا و پیچیدگی در نگهداری و تعمیر، از معایب این نوع یاتاقانها به شمار میروند. با این حال، در شرایطی که دقت و پایداری اهمیت بالایی دارند، یاتاقانهای تیلت پد انتخابی
مناسب و مؤثر خواهند بود.

