یاتاقان تری لوب (Three-Lobe Bearing)
یاتاقانها از اجزای حیاتی در ماشینآلات صنعتی هستند که نقش مهمی در کاهش اصطکاک و افزایش عمر مفید تجهیزات ایفا میکنند. این قطعات بسته به
شرایط کاری، در انواع مختلفی طراحی میشوند که هر یک ویژگیها و کاربردهای خاص خود را دارند. یکی از انواع مهم یاتاقانها، یاتاقان تری لوب (سهلوبی)
است که بهویژه در تجهیزات با سرعت بالا مانند کمپرسورها، توربینها و پمپهای صنعتی کاربرد دارد.
تعریف یاتاقان تری لوب
یاتاقان تری لوب نوعی یاتاقان لغزشی است که دارای سه ناحیه برجسته (لوب) در سطح داخلی بوش یاتاقان است. این طراحی باعث میشود که شفت درون
یاتاقان در تماس با یک فیلم نازک روغن حرکت کند، که منجر به کاهش اصطکاک و افزایش پایداری سیستم میشود. ساختار سهلوبی این یاتاقان، پایداری
دینامیکی را بهبود میبخشد و مانع از وقوع ناپایداریهای ناشی از لرزشهای شدید میشود.
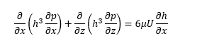
برای تحلیل رفتار این یاتاقان، میتوان از معادله رینولدز برای جریان فیلم روغن استفاده کرد:

که در آن:
ضخامت فیلم روغن h
فشار روغن در فیلم یاتاقان p
ویسکوزیته دینامیکی روغن
سرعت نسبی بین سطح شفت و یاتاقانU
مختصات در راستای طول و محیط یاتاقانx,z
ویژگیها و ساختار یاتاقان تری لوب
یاتاقان تری لوب دارای ساختاری است که فشار روغن را در نواحی مختلف یاتاقان توزیع کرده و باعث کاهش نوسانات و بهبود عملکرد روانکاری میشود. این
ویژگی، آن را برای ماشینآلاتی که در سرعتهای بالا کار میکنند، ایدهآل میسازد.
برخی از مشخصات کلیدی این یاتاقان عبارتاند از:
توزیع بهینه فشار روغن: طراحی سهلوبی باعث ایجاد نواحی فشار بالا و کاهش نقاط تماس مستقیم فلز با فلز میشود.
کاهش ارتعاشات: این یاتاقان به دلیل طراحی خاص خود، پایداری چرخشی را افزایش داده و لرزشهای ناشی از ناهماهنگی را کاهش میدهد.
مناسب برای سرعتهای بالا: به دلیل کاهش اصطکاک و بهینهسازی فیلم روغن، این یاتاقان گزینهای مناسب برای ماشینآلات با سرعت بالا است.
تحمل بارهای شعاعی: این یاتاقان بهطور ویژه برای تحمل بارهای شعاعی طراحی شده است و در مقابل بارهای محوری عملکرد محدودی دارد.
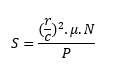
یکی از مهمترین پارامترهای طراحی این یاتاقان، عدد سامرفلد است که پایداری عملکرد را مشخص میکند:

که در آن:
شعاع شفتr
لقی شعاعی بین شفت و یاتاقانc
سرعت دورانی شفت (دور بر دقیقه)N
بار اعمالی بر واحد طول یاتاقانP
کاربردهای یاتاقان تری لوب
این یاتاقان عمدتاً در ماشینآلاتی که نیاز به عملکرد پایدار در سرعتهای بالا دارند، استفاده میشود. برخی از کاربردهای رایج آن عبارتاند از:
کمپرسورها و توربینها: به دلیل پایداری دینامیکی بالا، این یاتاقانها در کمپرسورهای صنعتی و توربینهای گازی و بخاری به کار میروند.
پمپهای فشار بالا: در پمپهایی که نیاز به عملکرد در سرعتهای بالا دارند، یاتاقانهای تری لوب به بهینهسازی توزیع نیرو کمک میکنند.
ژنراتورها و موتورهای الکتریکی صنعتی: در برخی از موتورهای بزرگ و ژنراتورها، از این یاتاقان برای کاهش لرزش و افزایش کارایی استفاده میشود.
مزایای یاتاقان تری لوب
کاهش اصطکاک و افزایش بازدهی: طراحی این یاتاقان موجب کاهش تماس مستقیم بین قطعات شده و با ایجاد یک لایه روغنی یکنواخت، اصطکاک را به حداقل میرساند.
بهبود پایداری دینامیکی: با توزیع متعادل فشار روغن، از وقوع ناپایداریهای مکانیکی و ارتعاشات ناخواسته جلوگیری میکند.
افزایش عمر مفید تجهیزات: کاهش سایش و ارتعاش باعث افزایش طول عمر قطعات متحرک در سیستم میشود.
چالشها و محدودیتها
پیچیدگی طراحی و ساخت: به دلیل طراحی خاص این یاتاقان، فرآیند تولید آن نیاز به دقت بالایی دارد که هزینههای تولید را افزایش میدهد.
نیاز به سیستم روانکاری دقیق: عملکرد بهینه این یاتاقان وابسته به تأمین روانکاری مناسب است؛ در غیر این صورت، ممکن است کارایی آن کاهش یابد.
عدم توانایی در تحمل بار محوری بالا: این یاتاقان عمدتاً برای بارهای شعاعی طراحی شده و برای بارهای محوری شدید، گزینه مناسبی نیست.

